第三节 接缝承载力计算

第 6.3.1 条墙板水平接缝受剪承载力应按 下列公式 计算:

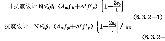
第 6.3.2 条墙板水平接缝沿墙板出平面受压承载力应按下列公式计算:

一、当为实心楼板时( 图6.3.2 a) 公式

二、当为空心楼板时(图6.3.2b) 公式

第 6.3.3 条墙板水平接缝沿墙板平面偏心受压和偏心受拉承载力可按照现行国家标准《混凝土结构设计规范》GBJ10的规定计算,其接缝材料的等效抗压强度设计值fce应按 下列公式 计算:

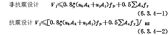
第 6.3.4 条墙板竖向接缝的受剪承载力按 下式 计算:

第 6.3.5 条连系梁竖向接缝的受剪承载力按 下列公式 计算:

第 6.3.6 条连系梁竖向接缝的受弯承载力按 下式 计算:

第 6.3.7 条抗震设计内外墙板的锚拉钢筋承载力应按 下列公式 计算( 图6.3.7 ):