参考资料一 砌块剪力墙结构抗弯强度验算

一、水平荷载分配

地震区采用中型砌块建筑时,每个楼层都应当设置钢筋混凝土圈梁,此圈梁一般兼作开洞剪力墙的连系梁。当梁的强度满足下式要求时,在地震力作用下可考虑在梁两端形成塑性铰,并按本方法进行结构的荷载分配和抗弯强度验算:

1.2M lf ≤M lu ≤M lQ /1.2 (1)

式中M lf ——连系梁抗裂弯矩;
M lu ——按纵向钢筋计算的连系梁极限抗弯矩;
M lQ =lQ kh ——按斜截面抗剪强度计算的连系梁极限抗弯矩。

(一)纵、横向地震荷载(包括风荷载)由纵、横墙分别承担。纵向地震荷载按墙体刚度EJ d 比分配给各纵墙。横向地震荷载的70%按各横墙刚度EJ d 比进行分配,其余30%按各横墙的(楼层)负荷面积比分配,即 下式

(二)砌块剪力墙等效惯性矩J d ,按 下列公式 计算:

表1 表2 表3

二、抗弯强度验算

砌块剪力墙结构的抗弯强度,按 下列公式 验算( 图1 ):

表4

三、计算实例 今以兰州粉煤灰砌块建筑足尺抗震试验模型为例,验算在7度地震作用下之抗弯强度。

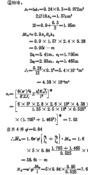
(一)主要技术条件 五层,层高h=2.8m,三开间,平面布置见 图2 。砌块抗压强度大于100号,底层砂浆强度R2=58.4kg/平方厘米②轴横墙连系梁,系钢筋混凝土现浇圈梁兼,尺寸为24×30cm(包括楼板厚),

上下各配2直径10钢筋,200号混凝土;④轴横墙窗过梁下部为钢筋混凝土圈梁,上部为砌块,高90厘米;连梁总高为1.2米。产生地震力之建筑物总重量W=437.3t。

(二)截面几何特征

①轴墙( 图3 ):

A=2.8m 2

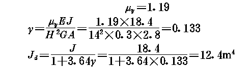
J=18.4m 4 查表3得

②轴墙( 图4 ), 结果

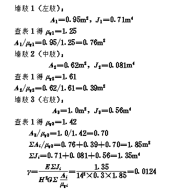
③轴墙( 图5 ):

A=3.1m 2

J=22.8m 4

μy=1.26

γ=0.158

Jd=14.5m 4

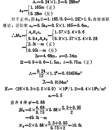
④轴墙( 图6 ): 结果

(三)连系梁对墙肢总极限约束弯矩

②轴墙,按 下式 计算:

④轴墙,按 下式 计算:

(四)墙肢轴向压力按 下式 计算:

(五)墙体极限抗弯矩 计算

(六)地震力计算

1.地震力分配系数的确定,按 下式 计算:

2.各横墙之地震力 计算

(七)强度验算,按 下式 计算: