附录六 具有少量镶砖的砌块墙体的计算


1.砌体横截面内具有少量镶砖的组合墙体(附图6.1)受压时,应分别按照下列公式进行计算:

(1)对墙体厚度d方向的计算 公式

(2)对墙体宽度b方向的计算

当沿墙宽b方向承受垂直偏心荷载时,还应对宽度方向按偏心受压构件进行计算。

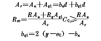
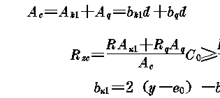
①组合墙体横截面的重心应按换算成同一材料的截面(Az)的重心采用。 换算截面时,砌块砌体和砖砌体的宽度分别按其实际宽度(bκ或bq)采用,而厚度应按下式计算:

砌块砌体的厚度dκ=d;

砖砌体的厚度dq=d×(Rq/R)。

②墙体偏心受压时,按下式计算:

KN≤φAcRzc

式中 φ——纵向弯曲系数,按第4.1.2条的规定采用;
Ac——应力图形为矩形时,组合墙体受压部分的截面面积;
Rzc——组合墙体受压部分的换算抗压强度。

当荷载N作用点偏向砖砌体一边时(附图6.2公式

当荷载N作用点偏向砌块砌体一边时(附图6.3公式

2.在砌块墙体中有水平砖砌体带的混合墙体(附图6.4)受压时,应按下式计算: