附录F 深埋防空地下室围护结构传热量计算

F.0.1 有恒温要求的防空地下室按下列公式计算: 公式

F.0.2无恒温要求的防空地下室,宜按下列公式计算:公式

表F.0.1-1-1

表F.0.1-1-2

表F.0.1-2-1

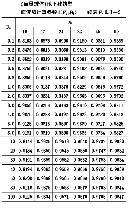
表F.0.1-2-2

表F.0.2-1

表F.0.2-2

表F.0.2-3

表F.0.2-4